Zurzeit sind leider keine Downloads möglich.

Das aktive Forum ist geschlossen: Infos HIER

Statistisches Bundesamt / Statistik von typischen Flox Nebenwirkungen

spacerat
Beiträge: 341
Registriert: 07.11.2016, 17:40

Statistisches Bundesamt / Statistik von typischen Flox Nebenwirkungen

#11801

Beitragvon spacerat » 14.05.2019, 10:31

Quellen:
http://www.gbe-bund.de
https://repub.eur.nl/pub/22853/010221_L ... %20der.pdf


SBA Vorzeitige Sterblichkeit bis 1997.png

SBA Vorzeitige Sterblichkeit ab 1998.png

SBA Sterbefälle Aortenaneurysma bis 1997.png

SBA Sterbefälle Aortenaneurysma ab 1998.png

SBA nicht traumatischer Muskelriss ab 2000.png

SBA CFS ab 2000.png

SBA Arthrose ab 2000.png

SBA Aortenaneurysma und -dissektion bis 1999.png

SBA Aortenaneurysma und -dissektion ab 2000.png

NL Non-traumatic tendon ruptures in the period 1980-1996.png

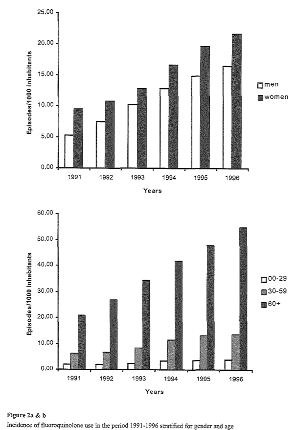
NL Incidence of fluoroquinolone use in the period 1991-1996.png
Du hast keine ausreichende Berechtigung, um die Dateianhänge dieses Beitrags anzusehen.

Zurück zu „Div. Fakten / Informationen / Studien“

Wer ist online?

Mitglieder in diesem Forum: 0 Mitglieder und 0 Gäste